Đề thi thử Tiếng Anh THPT 2025 – THPT LÊ HỒNG PHONG

Môn Học: Tiếng Anh
Trường: Trường THPT Nguyễn Gia Thiều
Năm thi: 2025
Hình thức thi: Trắc nghiệm online
Người ra đề thi: Thầy Nguyễn Văn Hiếu
Đối tượng thi: Học sinh lớp 12
Loại đề thi: Đề kiểm tra giữa kỳ
Trong bộ sách: Cánh Diều
Số lượng câu hỏi: 25
Thời gian thi: 45 phút
Độ khó: Từ cơ bản đến vận dụng
Làm bài thi

Đề thi thử Tiếng Anh THPT 2025 – THPT LÊ HỒNG PHONG là đề ôn tập môn Tiếng Anh dành cho học sinh lớp 12, bám sát nội dung SGK Bộ giáo dục. Đề thi do Giáo viên – giáo viên trường THPT LÊ HỒNG PHONG biên soạn năm 2025, với cấu trúc câu hỏi đa dạng từ nhận biết đến vận dụng cao, giúp các em củng cố kiến thức và làm quen với định dạng đề Thi thử THPT Quốc Gia. Bài thi này được cung cấp độc quyền trên detracnghiem.edu.vn.

Với các bài thi thử Tiếng Anh THPT tại đây, các câu hỏi được xây dựng kỹ lưỡng, bám sát chương trình học lớp 12 và có giải thích chi tiết, giúp học sinh dễ dàng hiểu sâu các kiến thức trọng tâm. Thông qua nền tảng detracnghiem.edu.vn, bạn có thể luyện tập hiệu quả, nâng cao năng lực và tự tin vững bước vào kỳ thi sắp tới.

Đề thi thử Tiếng Anh THPT 2025 – THPT LÊ HỒNG PHONG

LINK PDF ĐỀ THI [gồm ĐỀ THI, ĐÁP ÁN, LỜI GIẢI]:
Nhận kết quả

Đề thi thử Tiếng Anh THPT 2025 – THPT LÊ HỒNG PHONG
Đề thi thử Tiếng Anh THPT 2025 – THPT LÊ HỒNG PHONG
Đề thi thử Tiếng Anh THPT 2025 – THPT LÊ HỒNG PHONG
Đề thi thử Tiếng Anh THPT 2025 – THPT LÊ HỒNG PHONG
Đề thi thử Tiếng Anh THPT 2025 – THPT LÊ HỒNG PHONG
Đề thi thử Tiếng Anh THPT 2025 – THPT LÊ HỒNG PHONG
Đề thi thử Tiếng Anh THPT 2025 – THPT LÊ HỒNG PHONG

Reading Comprehension

Artificial intelligence (AI) refers to the simulation of human intelligence in machines that are programmed to think and learn like humans. AI has become an integral part of modern technology, impacting various sectors such as healthcare, finance, education, and transportation. By analysing vast amounts of data, AI systems can identify patterns, make decisions, and even predict future outcomes. These capabilities make AI a powerful tool for solving complex problems and improving efficiency.

One of the most significant applications of AI is in healthcare. AI algorithms can analyse medical data to assist in diagnosing diseases, recommending treatments, and predicting patient outcomes. This can lead to more accurate diagnoses and personalized treatment plans, ultimately improving patient care. Additionally, AI-powered robots can perform surgeries with precision and consistency, reducing the risk of human error.

In the financial sector, AI is used for fraud detection, risk management, and algorithmic trading. By analysing transaction patterns and identifying anomalies, AI systems can detect fraudulent activities in real-time, protecting both consumers and financial institutions. AI also enables more effective risk management by predicting market trends and potential risks, allowing businesses to make informed decisions.

Education is another area where AI is making a significant impact. AI-powered educational tools can provide personalized learning experiences, adapting to the needs and learning styles of individual students. This can enhance student engagement and improve learning outcomes. Moreover, AI can automate administrative tasks, allowing educators to focus more on teaching and less on paperwork.

Despite its many benefits, AI also poses several challenges. Ethical concerns arise regarding data privacy, algorithmic bias, and the potential for job displacement. As AI systems become more prevalent, it is crucial to address these issues and ensure that AI is developed and implemented responsibly.
(source: https://tuyensinh247.com)

Câu 1:

Cloze Test 1

SMARTPHONES

Smartphones have become an essential part of our daily lives, (6) ……… a variety of apps that can help us with various tasks. One particularly useful smartphone app is Giant. It allows users to create to-do lists and set reminders for (7) …………. deadlines. The app provides users (8) ……….. a well-organized way to organize tasks effectively.

With this app, users can easily set their schedules, making it simpler to (9) ……….. track of what needs to be done. Many people also enjoy the feature that allows them (10) ……….. their progress daily, which can be very motivating. It’s a useful way to ensure that nothing gets overlooked.
(source: https://yourhomework.net)

Câu 6:
A. offered
B. offering
C. is offering
D. to offer

Câu 7:
A. importance
B. importantly
C. import
D. important

Câu 8:
A. with
B. for
C. at
D. in

Câu 9:
A. keep
B. pay
C. take
D. set

Câu 10:
A. check
B. to checking
C. to check
D. checking

Multiple Choice 1

Câu 11: Mark the letter A, B, C, or D on your answer sheet to indicate the correct arrangement of the sentences to make a meaningful paragraph/letter in each of the following questions

a. For example, AI can understand what you say, learn to recognize your voice and help you find information on the internet.
b. It saves time and helps them do things better.
c. Artificial intelligence (AI) is a technology that allows computers to do things that would normally need human intelligence.
d. AI is also used in many different applications, from self-driving cars and robots to online shopping and banking.
e. Many people use AI every day.
A. c-d-e-b-a
B. a-e-b-d-c
C. c-a-e-b-d
D. a-d-e-b-c

Câu 12: Mark the letter A, B, C, or D on your answer sheet to indicate the word whose underlined part differs from the other three in pronunciation in each of the following questions.
A. application
B. reliable
C. update
D. activate

Cloze Test 2

The Amazon Rainforest is the largest rainforest in the world. It is located in South America and (13)……… The rainforest is a home to a wide variety of plant and animal species, many of which are not found anywhere else on Earth. The Great Barrier Reef is ( 14)………..in the world. It is located off the coast of Australia and stretches for over 2.300 kms. The reef is made up of thousands of individual reefs and ( 15)……….., and it is home to a diverse range of marine life, including over 1.500 species of fish and over 400 types of coral. The Grand Canyon is a massive gorge located in the state of Arizona in the United States. ( 16)……….The canyon is about 446 kms long and up to 29kms wide. It is known for its colourful landscape and stunning rock formations. Mount Everest is the highest mountain in the world, with (17)……….8,848meters above sea level. It is located in the Himalayas and straddles the border between Nepal and China. Climbing Mount Everest is a dangerous and challenging feat ( 18)………
( https://khoahoc.vietjack.com)

Câu 13:
A. which covers an area of about 7 million square kilometres
B. covering an area of about 7 million square kilometres
C. covers an area of about 7 million square kilometres
D. because it covers an area of about 7 million square kilometres

Câu 14:
A. to have the largest coral reef system
B. with the largest
C. coral reef system the largest
D. the largest coral reef system

Câu 15:
A. on islands
B. that have many islands
C. have many islands
D. islands

Câu 16:
A. The Colorado River over millions of years
B. Formed by the Colorado River over millions of years
C. When it was formed by the Colorado River over millions of years
D. It was formed by the Colorado River over millions of years

Câu 17:
A. peak reaching
B. its peak reaching
C. their peak reaching
D. peak reaches

Câu 18:
A. that requires careful
B. that requires careful planning and preparation
C. that careful planning and preparation
D. requires careful planning and preparation

Multiple Choice 2

Câu 19: Mark the letter A, B, C, or D on your answer sheet to indicate the correct arrangement of the sentences to make a meaningful paragraph/letter in each of the following questions

a. Poaching and illegal wildlife trade also put them in danger.
b. These endangered species are at risk due to threats like habitat loss from deforestation or development.
c. Around the world, animals and plants are facing extinction.
d. By raising awareness and taking action, we can help ensure a future where these amazing creatures don’t vanish and the ecosystems are kept healthy.
e. The loss of a species can disrupt entire ecosystems, impacting everything from our food supply to the air we breathe.
A. d-b-a-e-c
B. c-e-d-a-b
C. a-b-e-d-c
D. c-b-a-e-d

Câu 20: Mark the letter A, B, C, or D on your answer sheet to indicate the word that differs from the other three in the position of the primary stress in each of the following questions.
A. rescue
B. release
C. survive
D. conserve

Câu 21: Mark the letter A, B, C, or D on your answer sheet to indicate the sentence that best combines each pair of sentences in the following questions.

People continue to buy clothes made of wild animal skins. This will encourage poaching and illegal trade in body parts.
A. If people continue to buy clothes made of wild animal skins , this will encourage poaching and illegal trade in body parts.
B. Unless people are encouraged to poach and trade body parts illegally , they will continue to buy clothes made of wild animal skins .
C. Unless people continue to buy clothes made of wild animal skins , this will encourage poaching and illegal trade in body parts.
D. If poaching and illegal trade in body parts are encouraged, people will continue to buy clothes made of wild animal skins.

Câu 22: Mark the letter A, B, C, or D on your answer sheet to indicate the underlined part that needs correction in each of the following questions.

Students at this school have their essays check by a computer software.
A. this school
B. check
C. have
D. Students

Câu 23: There are enough many endangered species in the region that the local authority has decided to create more protected areas.
A. enough
B. that
C. to
D. species

Câu 24: They………….a new language if they had more free time.
A. will learn
B. learnt
C. had learned
D. would learn

Câu 25: Social media moves so fast that it can be a challenge to………….all the latest trends and challenges.
A. look forward to
B. keep up with
C. go in for
D. get on with

Câu 26: AI has many practical……………….such as facial recognition and virtual assistants.
A. applications
B. chatbots
C. recognition
D. poaching

Câu 27: The TV show attracted millions of _________ during its premiere.
A. viewers
B. interests
C. adverts
D. posters

Câu 28: Broadcast TV, radio and printed newspapers are typical examples of traditional …………
A. software
B. mass media
C. website
D. digital media

Câu 29: Digital media is very convenient, but its……………….are also its own weaknesses,
A. strength
B. strong
C. strengths
D. strengthen

Câu 30: The saola , whose population is fewer than 250 mature individuals , is one of the world’s…………..mammals and is only found in Viet Nam.
A. most natural
B. scariest
C. rarest
D. most threatening

Câu 31: Conservation programmes are necessary to protect ______ marine animals like sea turtles.
A. vulnerable
B. passionate
C. temporary
D. affordable

Câu 32: They are going to have a technician _________ a smart lighting system in their house.
A. install
B. to install
C. installing
D. installed

Câu 33: The website is……………….with new information every day.
A. protected
B. interacted
C. updated
D. spread

Câu 34: AI-based robots can do household chores………………..they were humans.
A. because
B. although
C. as if
D. than

Câu 35: Online courses are often……………….than traditional classroom-based learning.
A. more convenient
B. convenient
C. as convenient
D. the most convenient

Cloze Test 3

Read the following brochure/school announcement and mark the letter A, B, C, or D on your answer sheet to indicate the correct option that best fits each of the numbered blanks.

English online courses
Explore your options for your graduation!
Why to choose us?
We provide you (36)………individual attention, result-driven coaching, (37)………..timing and free study materials.
For ( 38)………..registration, please visit our website : www. Englishonline,com

Câu 36:
A. with
B. to
C. of
D. for

Câu 37:
A. sensitive
B. flexible
C. precise
D. accessible

Câu 38:
A. O
B. an
C. the
D. a

Multiple Choice 3

Câu 39: Mark the letter A, B, C, or D on your answer sheet to indicate the sentence that is closest in meaning to each of the following questions.

We couldn’t go out because the weather was so bad.
A. It was such bad weather that we couldn’t go out.
B. It was so bad weather that we couldn’t go out.
C. It was such a bad weather that we couldn’t go out.
D. It was a so bad weather that we couldn’t go out.

Câu 40: She is going to have her broken laptop fixed by the computer shop.
A. She is going to fix her laptop with the computer shop.
B. Someone advised her to fix her broken laptop at the computer shop.
C. She is going to learn how to fix her broken laptop at the computer shop.
D. She is going to ask the computer shop to fix her broken laptop.

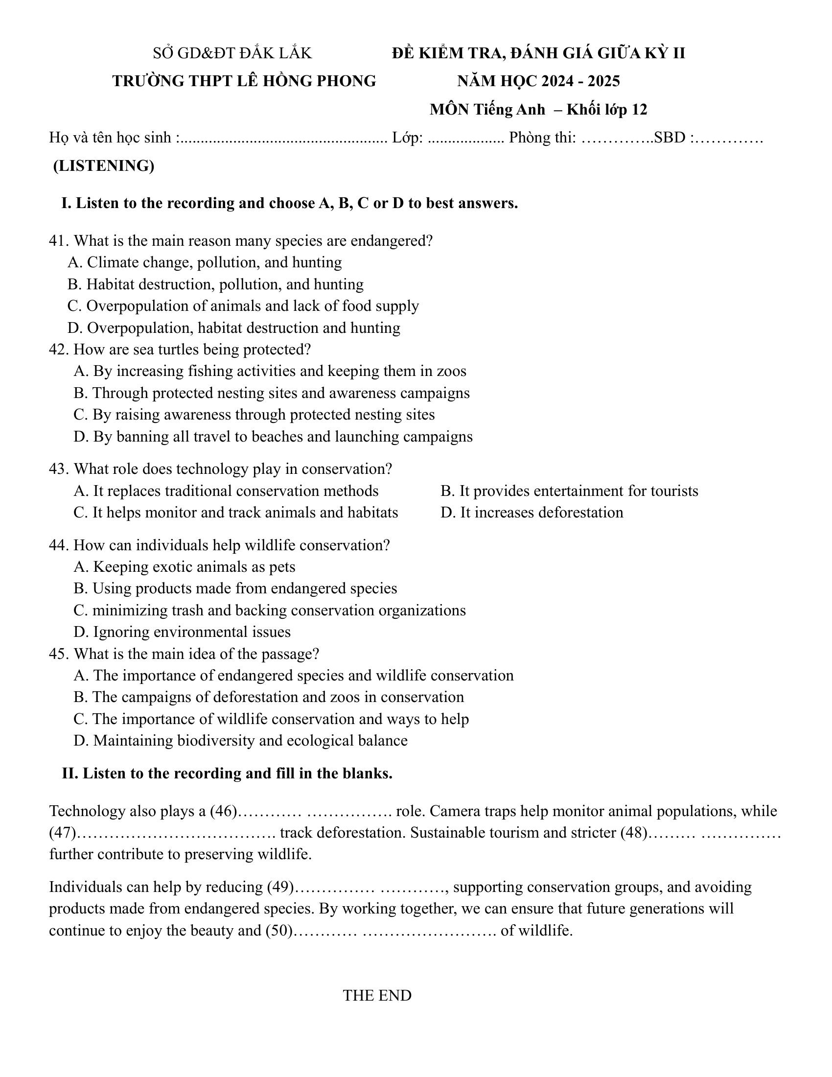
Listening Part I

Câu 41: I. Listen to the recording and choose A, B, C or D to best answers.

What is the main reason many species are endangered?
A. Climate change, pollution, and hunting
B. Habitat destruction, pollution, and hunting
C. Overpopulation of animals and lack of food supply
D. Overpopulation, habitat destruction and hunting

Câu 42: How are sea turtles being protected?
A. By increasing fishing activities and keeping them in zoos
B. Through protected nesting sites and awareness campaigns
C. By raising awareness through protected nesting sites
D. By banning all travel to beaches and launching campaigns

Câu 43: What role does technology play in conservation?
A. It replaces traditional conservation methods
B. It provides entertainment for tourists
C. It helps monitor and track animals and habitats
D. It increases deforestation

Câu 44: How can individuals help wildlife conservation?
A. Keeping exotic animals as pets
B. Using products made from endangered species
C. minimizing trash and backing conservation organizations
D. Ignoring environmental issues

Câu 45: What is the main idea of the passage?
A. The importance of endangered species and wildlife conservation
B. The campaigns of deforestation and zoos in conservation
C. The importance of wildlife conservation and ways to help
D. Maintaining biodiversity and ecological balance

Listening Part II

II. Listen to the recording and fill in the blanks.

Technology also plays a (46)…………………… role. Camera traps help monitor animal populations, while (47)…………………… track deforestation. Sustainable tourism and stricter (48)……………………
further contribute to preserving wildlife.

Individuals can help by reducing (49)……………………, supporting conservation groups, and avoiding products made from endangered species. By working together, we can ensure that future generations will continue to enjoy the beauty and (50)…………………… of wildlife.
Câu 46: Fill in blank (46)

Câu 47: Fill in blank (47)

Câu 48: Fill in blank (48)

Câu 49: Fill in blank (49)

Câu 50: Fill in blank (50)

×
Lấy mã và nhập vào ô dưới đây

Bạn ơi!! Ủng hộ tụi mình bằng cách làm nhiệm vụ nha <3

LƯU Ý: Không sử dụng VPN hoặc 1.1.1.1 khi vượt link

Bước 1: Mở tab mới, truy cập Google.com

Bước 2: Tìm kiếm từ khóa: Từ khóa

Bước 3: Trong kết quả tìm kiếm Google, hãy tìm website giống dưới hình:

(Nếu trang 1 không có hãy tìm ở trang 2, 3, 4... nhé )

Bước 4: Cuộn xuống cuối bài viết rồi bấm vào nút GIỐNG HÌNH DƯỚI và chờ 1 lát để lấy mã:

×

Bạn ơi!!! Để xem được kết quả
bạn vui lòng làm nhiệm vụ nhỏ xíu này nha

LƯU Ý: Không sử dụng VPN hoặc 1.1.1.1 khi làm nhiệm vụ

Bước 1: Mở tab mới, truy cập Google.com

Bước 2: Tìm kiếm từ khóa: Từ khóa

Bước 3: Trong kết quả tìm kiếm Google, hãy tìm website giống dưới hình:

(Nếu trang 1 không có hãy tìm ở trang 2, 3, 4... nhé )

Bước 4: Cuộn xuống cuối bài viết rồi bấm vào nút GIỐNG HÌNH DƯỚI và chờ 1 lát để lấy mã:

Bạn ơi!!! Để xem được kết quả
bạn vui lòng làm nhiệm vụ nhỏ xíu này nha

LƯU Ý: Không sử dụng VPN hoặc 1.1.1.1 khi làm nhiệm vụ

Bước 1: Click vào liên kết kế bên để đến trang review maps.google.com

Bước 2: Copy tên mà bạn sẽ đánh giá giống như hình dưới:

Bước 3: Đánh giá 5 sao và viết review: Từ khóa

Bước 4: Điền tên vừa đánh giá vào ô nhập tên rồi nhấn nút Xác nhận